• Предмет: Алгебра
  • Автор: worldoftanks009
  • Вопрос задан 3 года назад

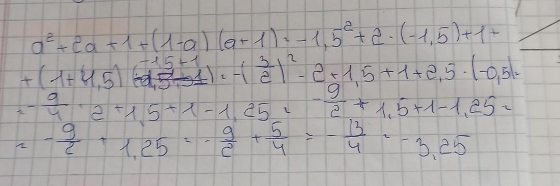
найдите значение выражения а^2+2a+1+(1-a)(a+1) при a=-1,5

Ответы

Ответ дал: stukalovanastia2
1

Ответ:

вот ответ

решали в класс

Приложения:
Вас заинтересует