• Предмет: Алгебра
  • Автор: sofavasileva108
  • Вопрос задан 3 года назад

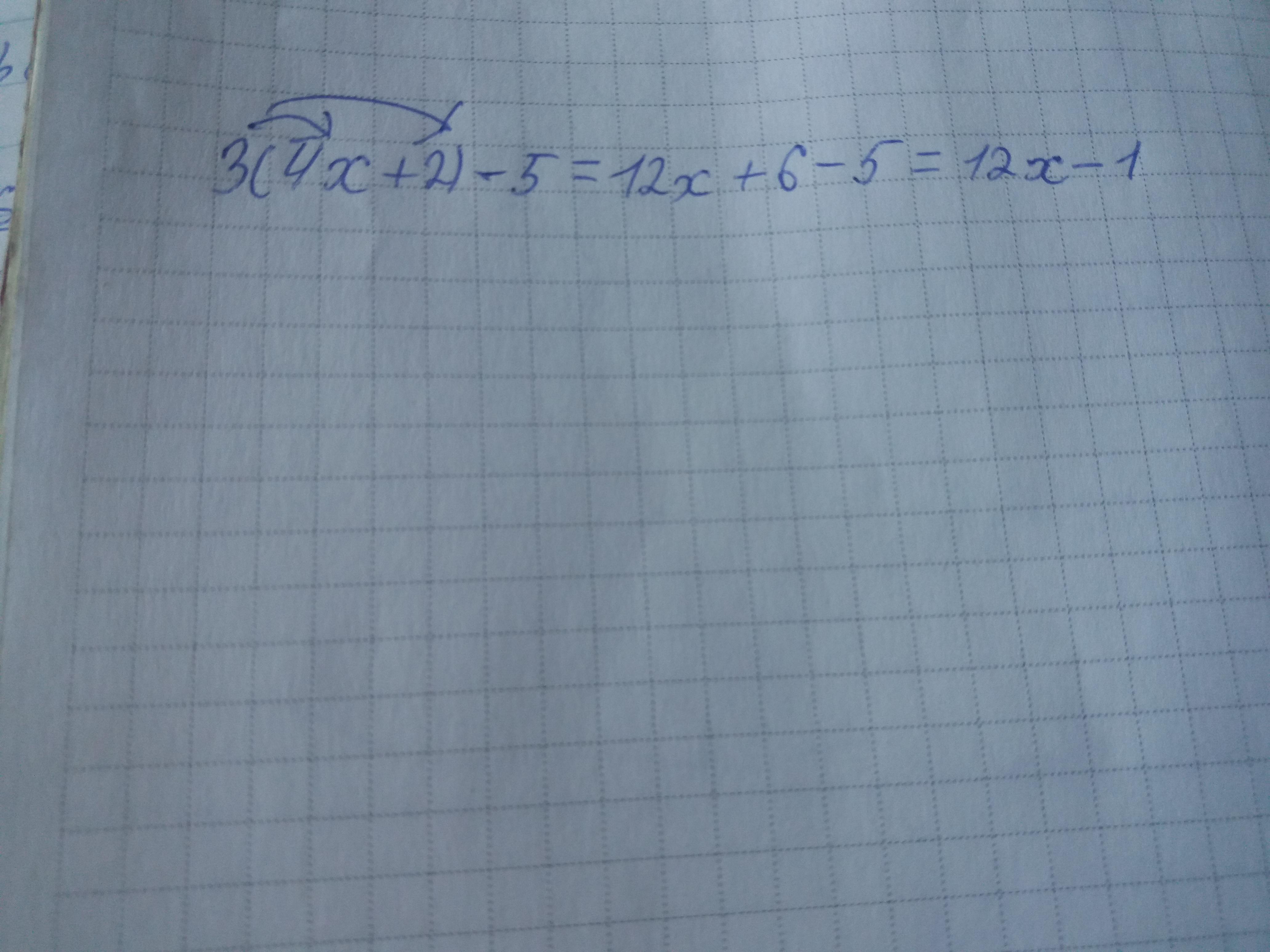
3(4х+2)-5 упростите выражение​

Ответы

Ответ дал: technodomt80
1

Всё решение на фото

Приложения:
Вас заинтересует