• Предмет: Алгебра
  • Автор: Аноним
  • Вопрос задан 3 года назад

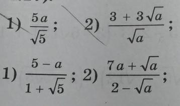
Освободитесь от иррациональности в знаменателе дроби

Приложения:

Ответы

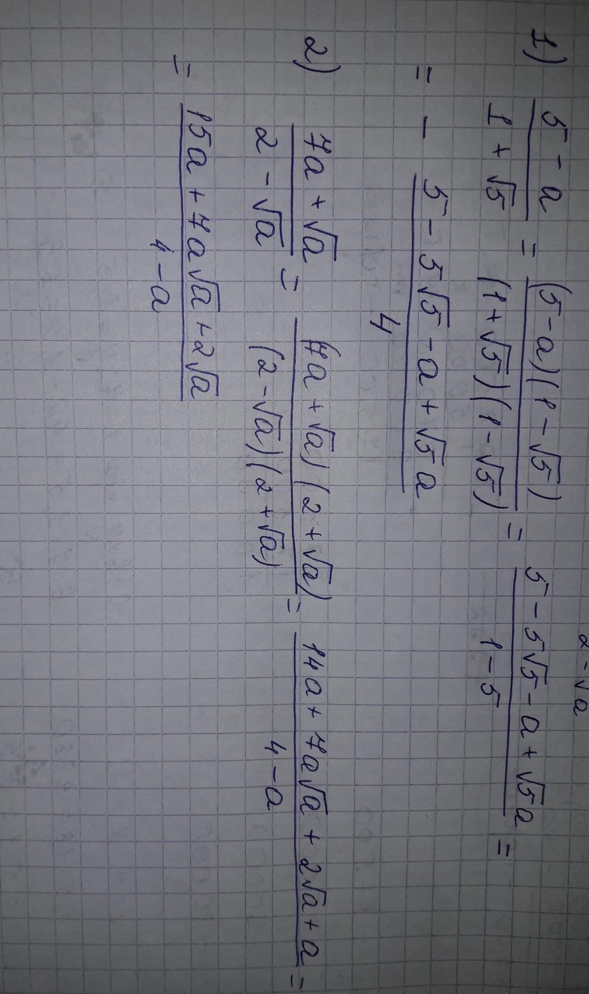
Ответ дал: nurbekovva15
0

Объяснение:

ответ и объяснение прикрепила

Приложения:
Вас заинтересует