• Предмет: Математика
  • Автор: alisapopova05
  • Вопрос задан 3 года назад

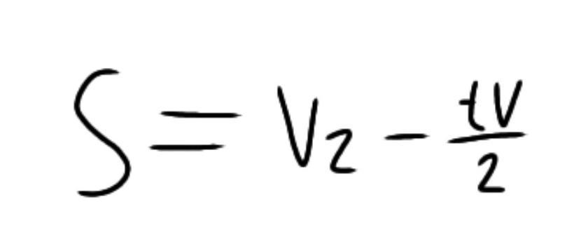
Выразить V2 из формулы S=V2-V1/2 × t

Ответы

Ответ дал: NeymarMathsGod
1

Ответ:

это степени или что? V½ это что? это степень½?

Приложения:
Вас заинтересует