решить системы уравнений способом алгебраического сложения и введения новой переменной. даю 70 баллов.
Срочно!
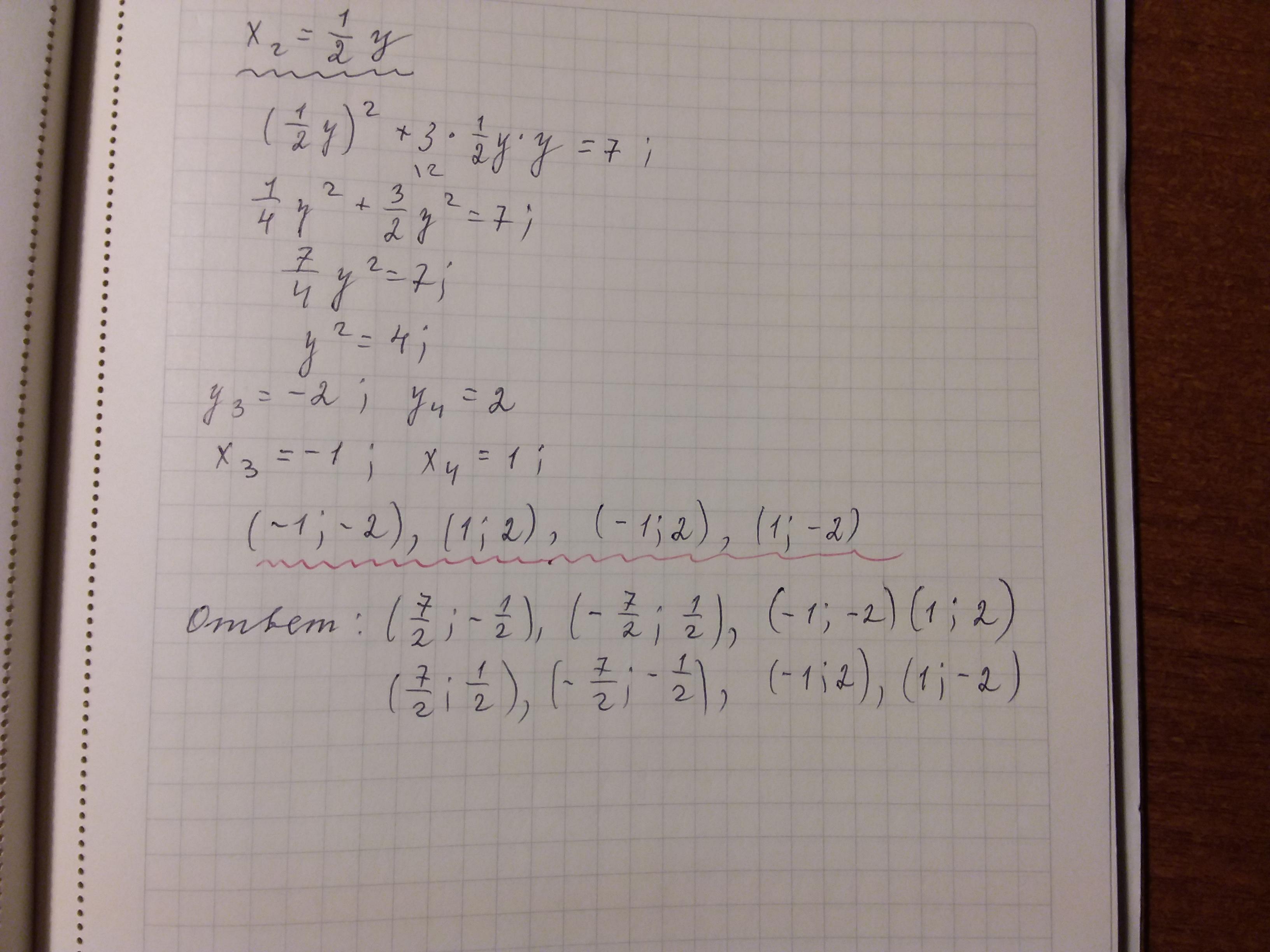
Приложения:

lidiasaraa3:
числа выходят некрасивые
во втором -4/7
Ответы
Ответ дал:
1
вроде,так................
Приложения:



Вас заинтересует
2 года назад
2 года назад
2 года назад
7 лет назад
9 лет назад