• Предмет: Математика
  • Автор: borisyuk795
  • Вопрос задан 3 года назад

сколько будет одна целя отнять девять двадцать девятых? помогите пожалуйста​

Ответы

Ответ дал: sachok1802
1

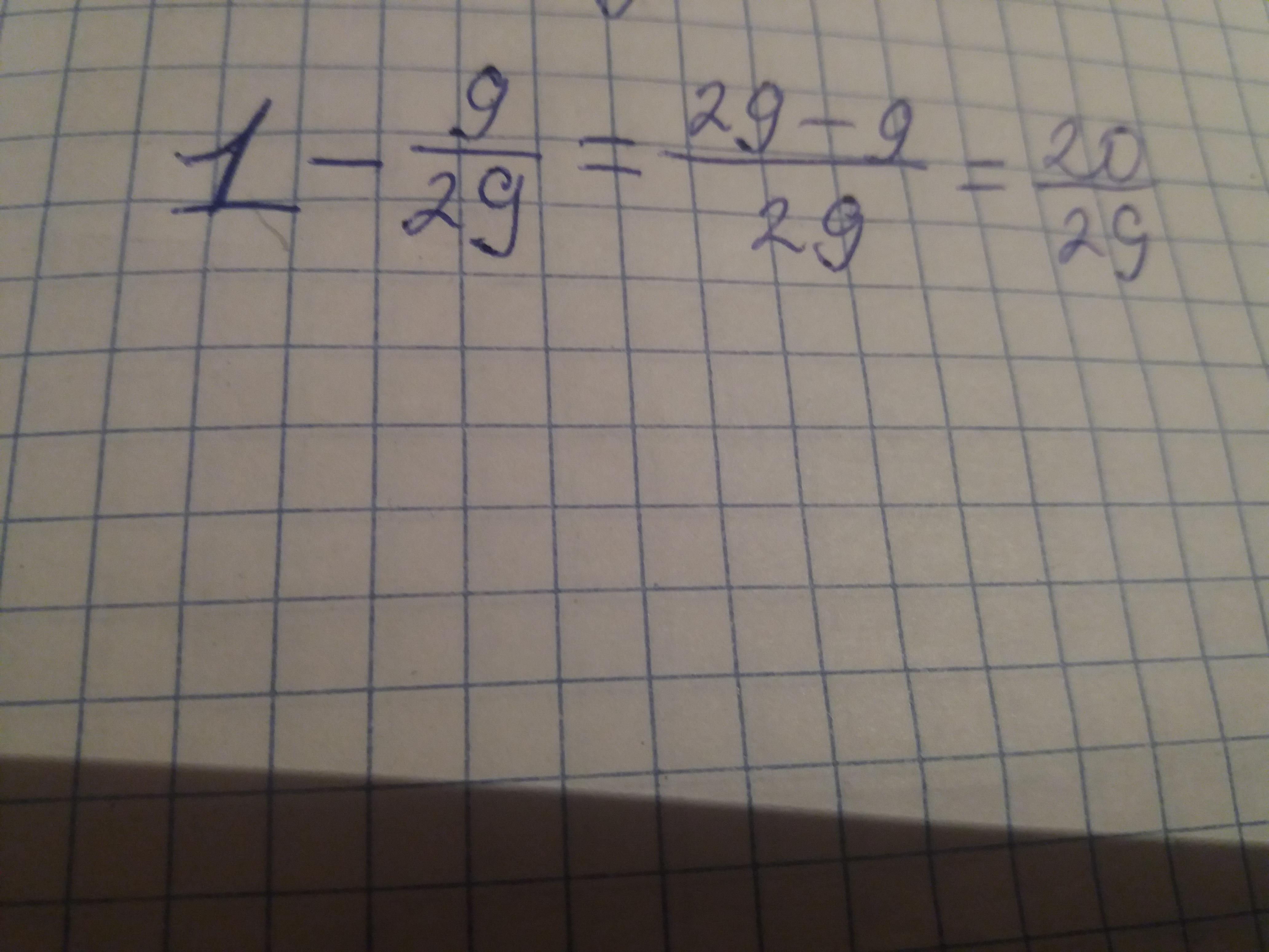
Ответ:

\frac{20}{29}

Пошаговое объяснение:

1 - \frac{9}{29} = \frac{29}{29} - \frac{9}{29} = \frac{20}{29}

Ответ дал: technodomt80
0

Всё решение на фото

Приложения:
Вас заинтересует