Здравствуйте, помогите пожалуйста!
Докажите тождество.
1)(5a-3b)-(4+5a-4b)=-4
2)5(0,4x-0,3)+(0,8-0,6x)=1,4x-0,7
3)1/9(3y-27)-2(1/12y-1,5) =1/6y
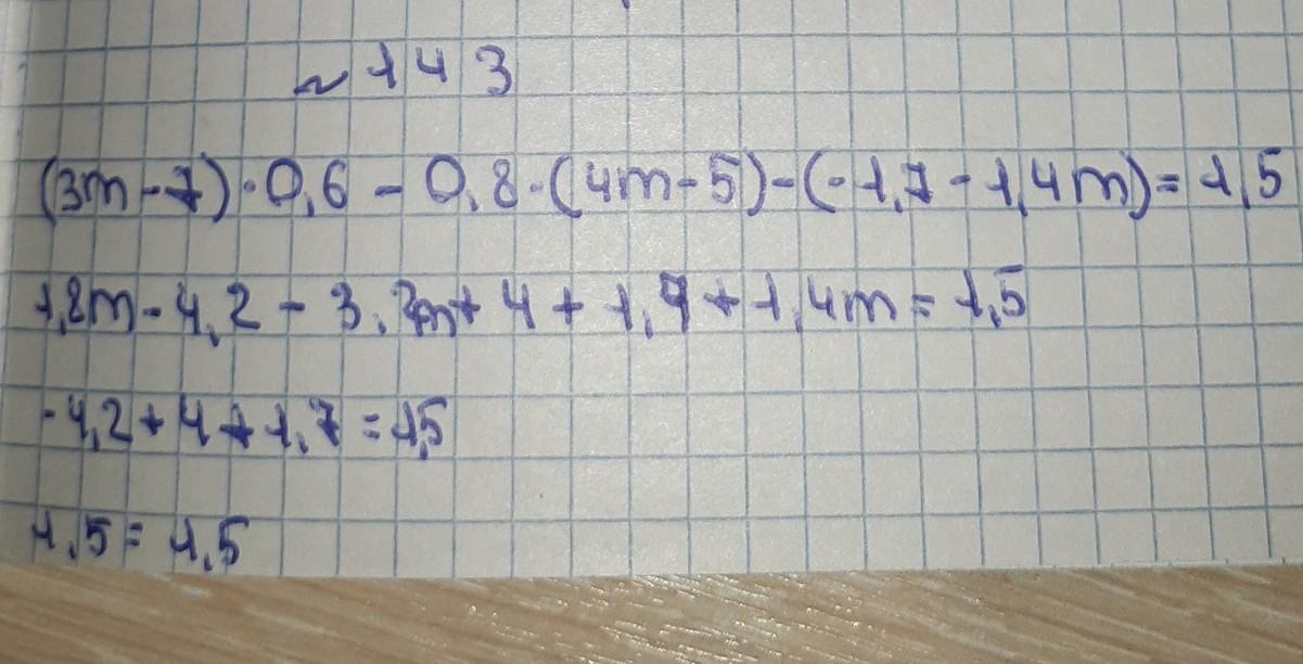
4) (3m-7)*0,6-0,8(4m-5)-(-1,7-1,4m)=1,5
5)7a(3b+4c)-3a(b+1/3c)=9a(2b+3c)
Ответы
Ответ дал:
1
Ответ:
надеюсь понятно, если надо что-то объяснять пиши)
Приложения:



mashaivanova020:
спасибо!
Вас заинтересует
2 года назад
2 года назад
2 года назад
2 года назад
7 лет назад
7 лет назад
9 лет назад
9 лет назад