• Предмет: Алгебра
  • Автор: Oljy17
  • Вопрос задан 3 года назад

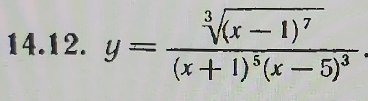
Про дифференцировать данную функцию

Приложения:

Ответы

Ответ дал: Аноним
1

Ответ:((7/3)(х-1)⁴/³*((х²+4х-5))-∛(х-1)⁷*(8х-22))/((х+1)⁶(х-5)⁴)

Объяснение:

((7/3)(х-1)⁴/³*((х+1)⁵*(х-5)³)-∛(х-1)⁷*(5*(х+1)⁴*(х-5)³+3(х+1)⁵*(х-5)²)/((х+1)¹⁰(х-5)⁶)=

((7/3)(х-1)⁴/³*((х+1)*(х-5))-∛(х-1)⁷*(5*(х-5)+3(х+1))/((х+1)⁶(х-5)⁴)=

((7/3)(х-1)⁴/³*((х²+4х-5))-∛(х-1)⁷*(8х-22))/((х+1)⁶(х-5)⁴)


sarbaevaulana9: ого
Вас заинтересует