• Предмет: Математика
  • Автор: rakhimakenes65
  • Вопрос задан 3 года назад

////////////////3333​

Приложения:

Ответы

Ответ дал: rainbowprinces
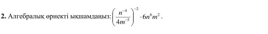
1

Ответ:

3n¹⁴/2m⁸

Пошаговое объяснение:

n⁸/4m¹⁰×6n⁶m²= n⁸×3n⁶/2m⁸= 3n¹⁴/2m⁸

Вас заинтересует