помогите пожалуйста ( только с по порядку )
Приложения:

ymnichka3643m:
Между ними знак умножить?
Ответы
Ответ дал:
0
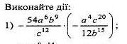
Данный ответ представлен фотографией.
Приложения:

Вас заинтересует
2 года назад
2 года назад
2 года назад
2 года назад
7 лет назад
7 лет назад
9 лет назад