Ответы
Ответ дал:
2
Ответ:
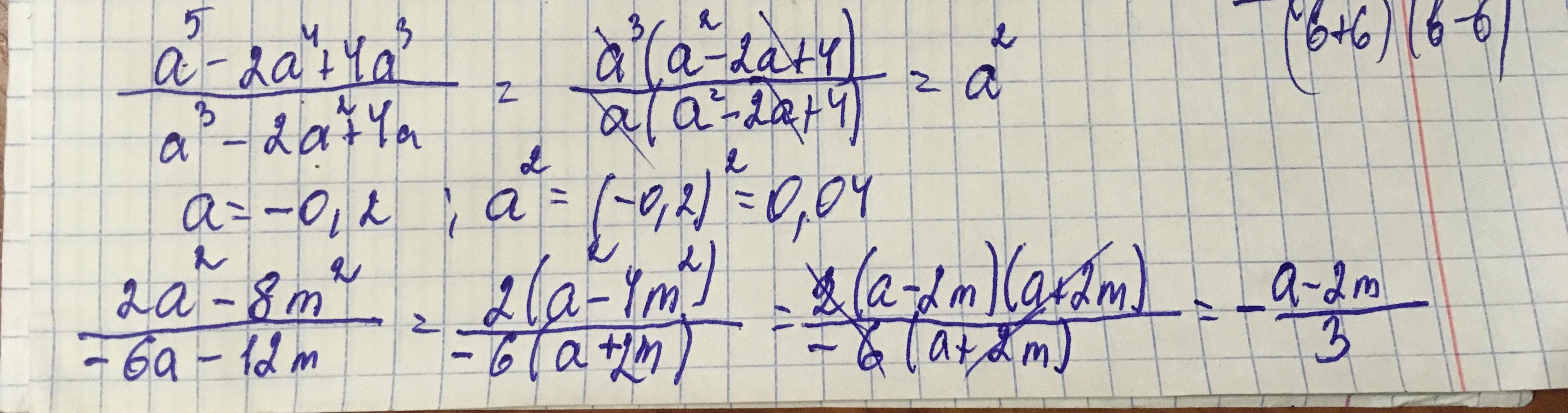
А) 0,04
Б) -3
Объяснение:
Решение на фото
Конец решения вопроса Б)
-(3-2*(-3))/3=-(3+6/3)=-3
Приложения:

nastyakl06:
Спасибо большооое!!! <3
Вас заинтересует
2 года назад
9 лет назад