• Предмет: Алгебра
  • Автор: nastyakl06
  • Вопрос задан 3 года назад

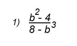
Сократите одну дробь, пожалуйста. <3

Приложения:

Ответы

Ответ дал: nuralen1994
0

Ответ:

-((х+2)/х+2х+4)

Объяснение:

Вас заинтересует