• Предмет: Алгебра
  • Автор: mrr34
  • Вопрос задан 3 года назад

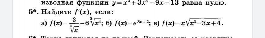
Помогите пожалуйста с 5 заданием, найти производную функцию ​

Приложения:

Ответы

Ответ дал: natalyabryukhova
1

Ответ:

Объяснение:

a)f(x)=\frac{3}{\sqrt[3]{x} }-6\sqrt[3]{x^4}=3x^{-\frac{1}{3}}-6x^{\frac{4}{3}}\\    \\f'(x)=3*(-\frac{1}{3})x^{-\frac{4}{3}}-6*\frac{4}{3}x^{\frac{1}{3} }=-\frac{1}{\sqrt[3]{x^4} }-8\sqrt[3]{x} \\    \\b)f(x)=e^{3x+2}\\\\f'(x)=e^{3x+2}*(3x+2)'=e^{3x+2}*3=3e^{3x+2}\\\\c)f(x)=x\sqrt{x^2-3x+4}=\\  \\f'(x)=1*\sqrt{x^2-3x+4}+x*\frac{1}{2}(x^2-3x+4)^{-\frac{1}{2}}*(2x-3)=\sqrt{x^2-3x+4}+\frac{x(2x-3)}{2\sqrt{x^2-3x+4}}

Вас заинтересует