• Предмет: Алгебра
  • Автор: alena9767
  • Вопрос задан 3 года назад

Внеси множители под знак корня:
ab корень 1/a +1 /b

Приложения:

Ответы

Ответ дал: NNNLLL54
3

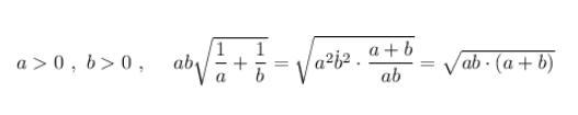
a>0\ ,\ b>0\ ,\ \ \ \ ab\sqrt{\dfrac{1}{a}+\dfrac{1}{b}}=\sqrt{a^2\. b^2\cdot \dfrac{a+b}{ab}}=\sqrt{ab\cdot (a+b)}

Приложения:

alena9767: что это?
alena9767: где ответ?
NNNLLL54: перезагрузи страницу...
alena9767: корень аb(a+b)
alena9767: то есть этот
alena9767: ответ.Да?
NNNLLL54: да
alena9767: СПАСИБО
Ответ дал: kirilastafev05
1

Ответ:

 \sqrt {ab^{2}}  +   \sqrt{a {}^{2} b}

Объяснение:

 \frac{ab \sqrt{b + a} }{ \sqrt{ab} }

 \sqrt{(b + a)ab}

Вас заинтересует