100БАЛЛОВ ИЗИ
Вариант 9
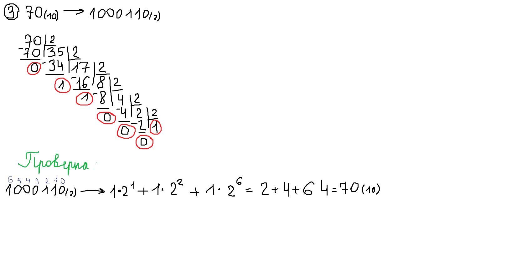
Перевести в двоичную систему счисления (с проверкой)
1. 42¹⁰
2. 18¹⁰
3. 70¹⁰
Вычислить в десятичной системе счисления:
4. 1011²+ 1101²
5. 1111²-1010²
Ответы
Ответ дал:
0
Ответ:
Задания: 1,2,3 во вложениях в файлах
4. 1011²+ 1101² = 11000(2)
Решение:
1011(2) = 11(10)
1101(2) = 13(10)
11(10) + 13(10) = 24(10)
24(10) = 11000(2)
5. 1111²-1010² = 11001(2)
Решение:
1111(2) = 15(10)
1010(2) = 10(10)
15(10) + 10(10) = 25(10)
25(10) = 11001(2)
Объяснение:
Приложения:
Вас заинтересует
2 года назад
2 года назад
3 года назад
3 года назад
8 лет назад
9 лет назад