• Предмет: Алгебра
  • Автор: alinazumagulova96
  • Вопрос задан 3 года назад

Помогите пожалуйста!Контрольный срочно

Приложения:

Ответы

Ответ дал: sangers1959
1

Объяснение:

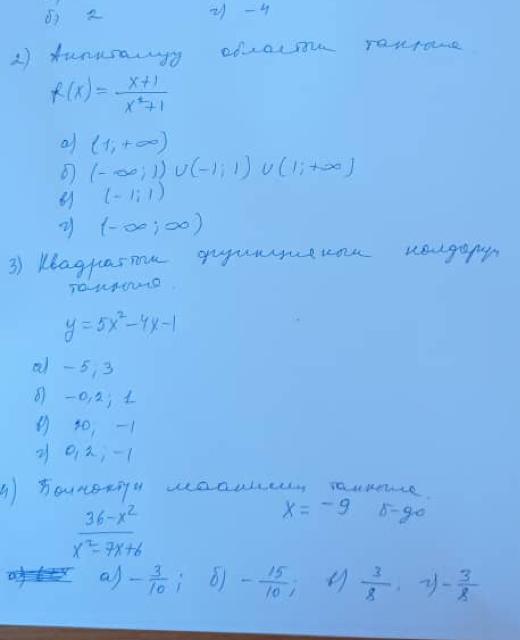
2)\ f(x)=\frac{x+1}{x^2+1} .

Так как х²+2>0    ⇒

Ответ: г) x∈(-∞;+∞).

3)\ y=5x^2-4x-1\\5x^2-4x-1=0\\5x^2-5x+x-1=0\\5x*(x-1)+(x-1)=0\\(x-1)*(5x+1)=0\\x-1=0\ \ \ \x=1.\\5x+1=0\\5x=-1\ |:5\\x=-0,2.\\

Ответ: б) -0,2; 1.

4) \ \frac{36-x^2}{x^2-7x+6}=-\frac{x^2-36}{x^2-6x-x+6}= -\frac{(x-6)*(x+6)}{x*(x-6)-(x-6)}=-\frac{(x-6)*(x+6)}{(x-6)*(x-1)}=\\=-\frac{x+6}{x-1}=\frac{x+6}{1-x}=\frac{-9+6}{1-(-9)} =\frac{-3}{1+9}=-\frac{3}{10}.

Ответ: а) -3/10.

Вас заинтересует