• Предмет: Алгебра
  • Автор: sakievaaliamk
  • Вопрос задан 3 года назад

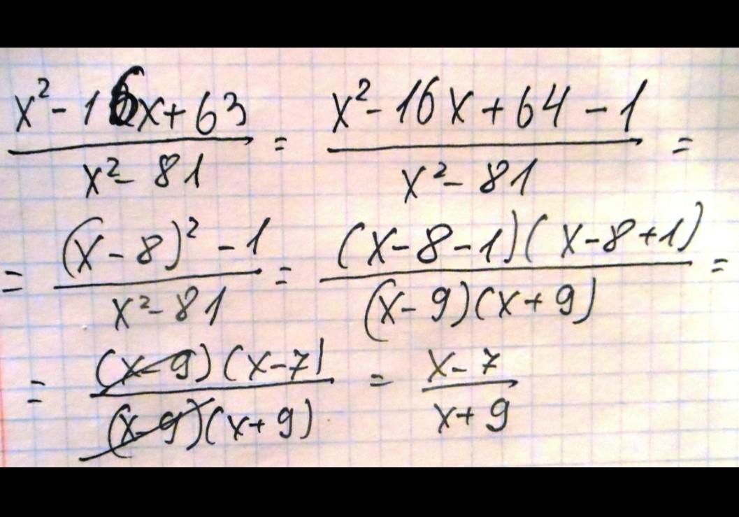
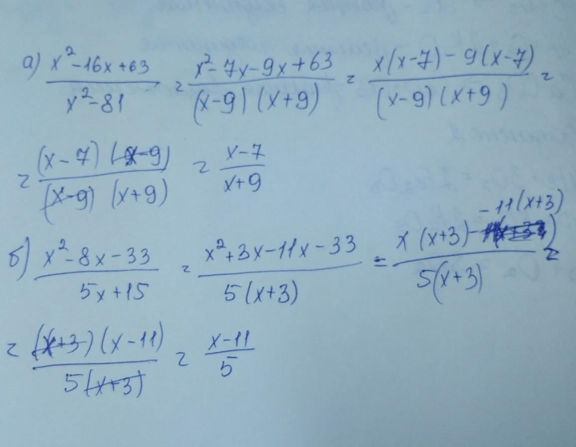
сократите дробь а)x^2-16x+63/x^2-81. б)x^2-8x-33/5x+15​ пж ооочень СРОЧНО ♥️

Ответы

Ответ дал: luizahacimshikova
2

Ответ:

!!!!!!!!!!!!!!!!!!!!!!!!!!!!

Приложения:

sakievaaliamk: спасибо ♥️
Ответ дал: elena090199
1

Ответ:

ooooooooooooooooooo

Приложения:

sakievaaliamk: Спасибо большое ♥️
Вас заинтересует