• Предмет: Физика
  • Автор: rock1237
  • Вопрос задан 3 года назад

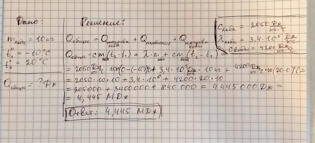
Какое количество теплоты требуется для того, чтобы изо льда массой 10 кг, взятого при температуре t1=-10, получить воду при температуре t2=20? ПОМОГИТЕ ПОЖАЛУЙСТА АААААААААААААА БУДУ ОЧЕНЬ БЛАГОДАРНА

Ответы

Ответ дал: Пришелец13
23

Ответ:

Ответ может быть различным, потому что удельную теплоёмкость льда или его удельную теплоту плавления, или и то и другое вместе могут взять округлёнными.

Приложения:

rock1237: Спасибо!!!
Вас заинтересует