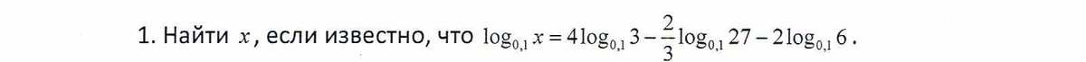
Ответы
Ответ дал:
0
Рассмотрим два логарифма с одинаковыми
основаниями: loga x и log a y . Тогда их можно
складывать и вычитать, причем:
1. loga x + log a y = loga ( x · y );
2. loga x − log a y = loga ( x : y ).
Итак, сумма логарифмов равна логарифму
произведения, а разность — логарифму
частного. Обратите внимание: ключевой
момент здесь — одинаковые основания .
Если основания разные, эти правила
не работают!
основаниями: loga x и log a y . Тогда их можно
складывать и вычитать, причем:
1. loga x + log a y = loga ( x · y );
2. loga x − log a y = loga ( x : y ).
Итак, сумма логарифмов равна логарифму
произведения, а разность — логарифму
частного. Обратите внимание: ключевой
момент здесь — одинаковые основания .
Если основания разные, эти правила
не работают!
Вас заинтересует
3 года назад
8 лет назад
8 лет назад
11 лет назад
11 лет назад
11 лет назад
11 лет назад