• Предмет: Математика
  • Автор: ezaburina
  • Вопрос задан 3 года назад

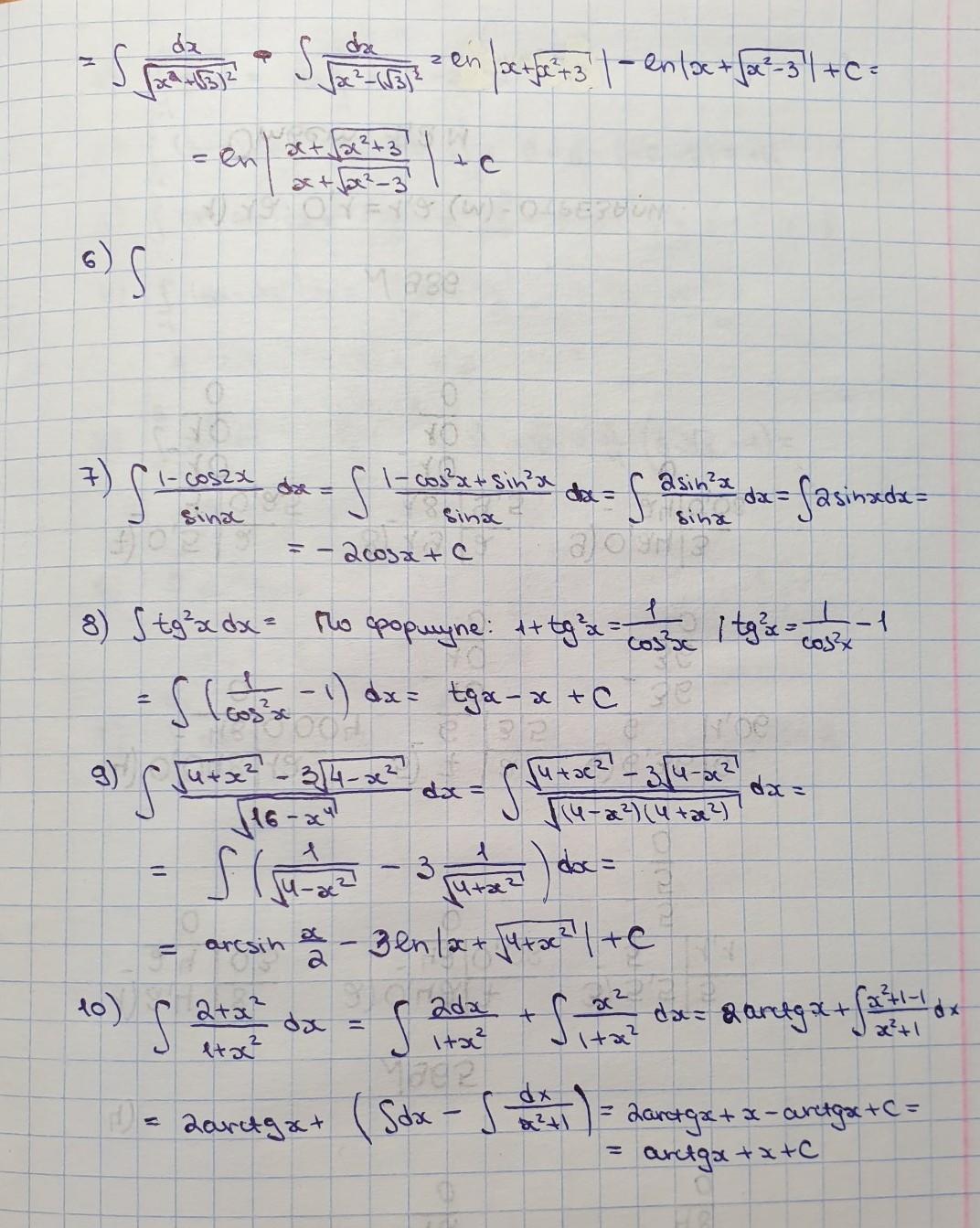
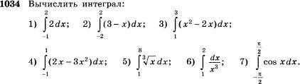
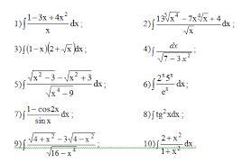
Помогите решить интегралы пожалуйстаааа!!!!

Приложения:

Miroslava227: на 1 фотографии в 2) там 13*x в какой степени? Только 4 вижу
ezaburina: в 3 степени
Miroslava227: а в 6) там числа в степени П?
ezaburina: Нет, там степень "х"

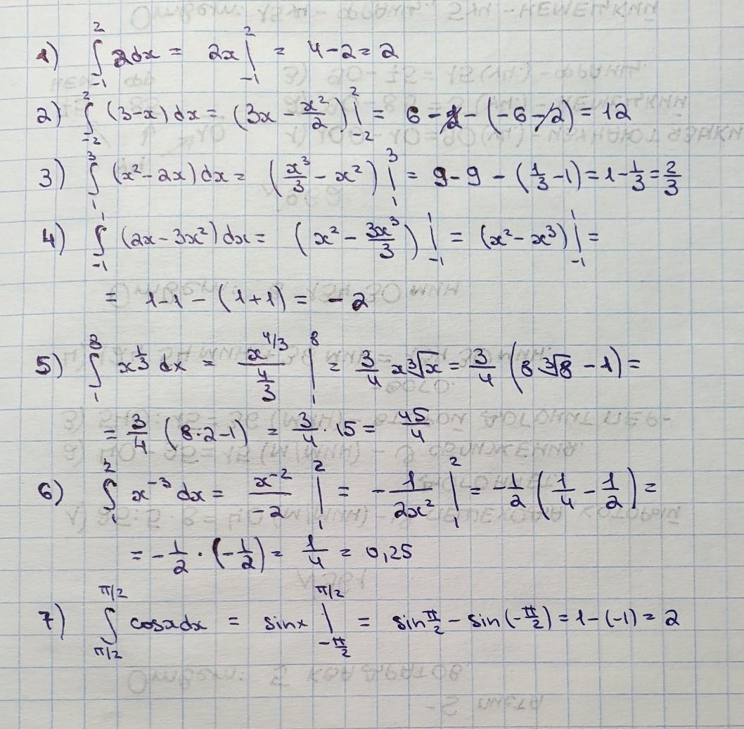
Ответы

Ответ дал: Miroslava227
1

решение на фотографиях

Приложения:

ezaburina: Спасибо большое
Вас заинтересует