Ответы
Ответ дал:
1
Ответ:
Объяснение:
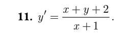
Перепишем уравнение в виде
На первом шаге найдем решение уравнения
Будем искать общее решение, как
Подставляем в первое уравнение и получаем
Интегрируем левую и правую часть и получаем
Тогда общее решение будет
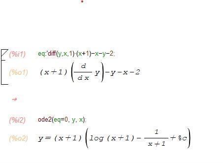
Проверяем себя в программе Maxima
Приложения:

Вас заинтересует
2 года назад
2 года назад
2 года назад
7 лет назад
7 лет назад
9 лет назад