• Предмет: Алгебра
  • Автор: diana617853
  • Вопрос задан 3 года назад

Срочно.
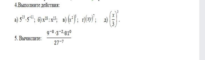
Файл прикреплен ниже

Приложения:

Ответы

Ответ дал: raffisatamyan
0

Ответ:

5) 27 ,4) a) 25, b) x^5, c) x^10, d) x^7*y^7, e) x^3/27

Вас заинтересует