• Предмет: Алгебра
  • Автор: 84776v
  • Вопрос задан 10 лет назад

Помогите ГИА плиииззззз

Приложения:

Ответы

Ответ дал: mmb1
0
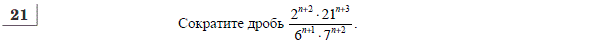
2^{n+2}21^{n+3}/6^{n+1}7^{n+2}=2^{n+2}3^{n+3}7^{n+3}/2^{n+1}3^{n+1}7^{n+2}=
2^{n+2-n-1}3^{n+3-n-1}7^{n+3-n-2}=2^{1}3^27^1=126
Вас заинтересует