Ответы
Ответ дал:
4
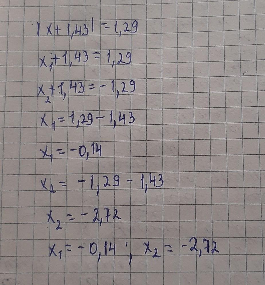
Ответ:
х1=-0,14;х2=-2,72
Пошаговое объяснение:
.......
Приложения:

Вас заинтересует
2 года назад
2 года назад
2 года назад
7 лет назад
7 лет назад
9 лет назад