• Предмет: Алгебра
  • Автор: cucumber936
  • Вопрос задан 3 года назад

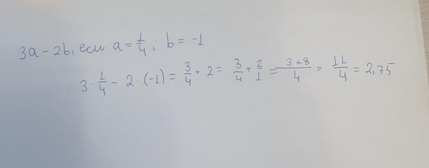
найдите значение выражение​

Приложения:

Ответы

Ответ дал: vityamath
1

Ответ:

2.75

Объяснение:

Решение на фото............

Приложения:
Вас заинтересует