• Предмет: Математика
  • Автор: nurdauletfaizulla1
  • Вопрос задан 3 года назад

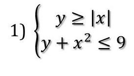
ПОМОГИТЕ!ПЖПЖПЖПЖПЖПЖ​

Приложения:

Ответы

Ответ дал: merejbaktygalikyzy
1

Ответ:

 \sqrt{7 \leqslant 10}

вот

Вас заинтересует