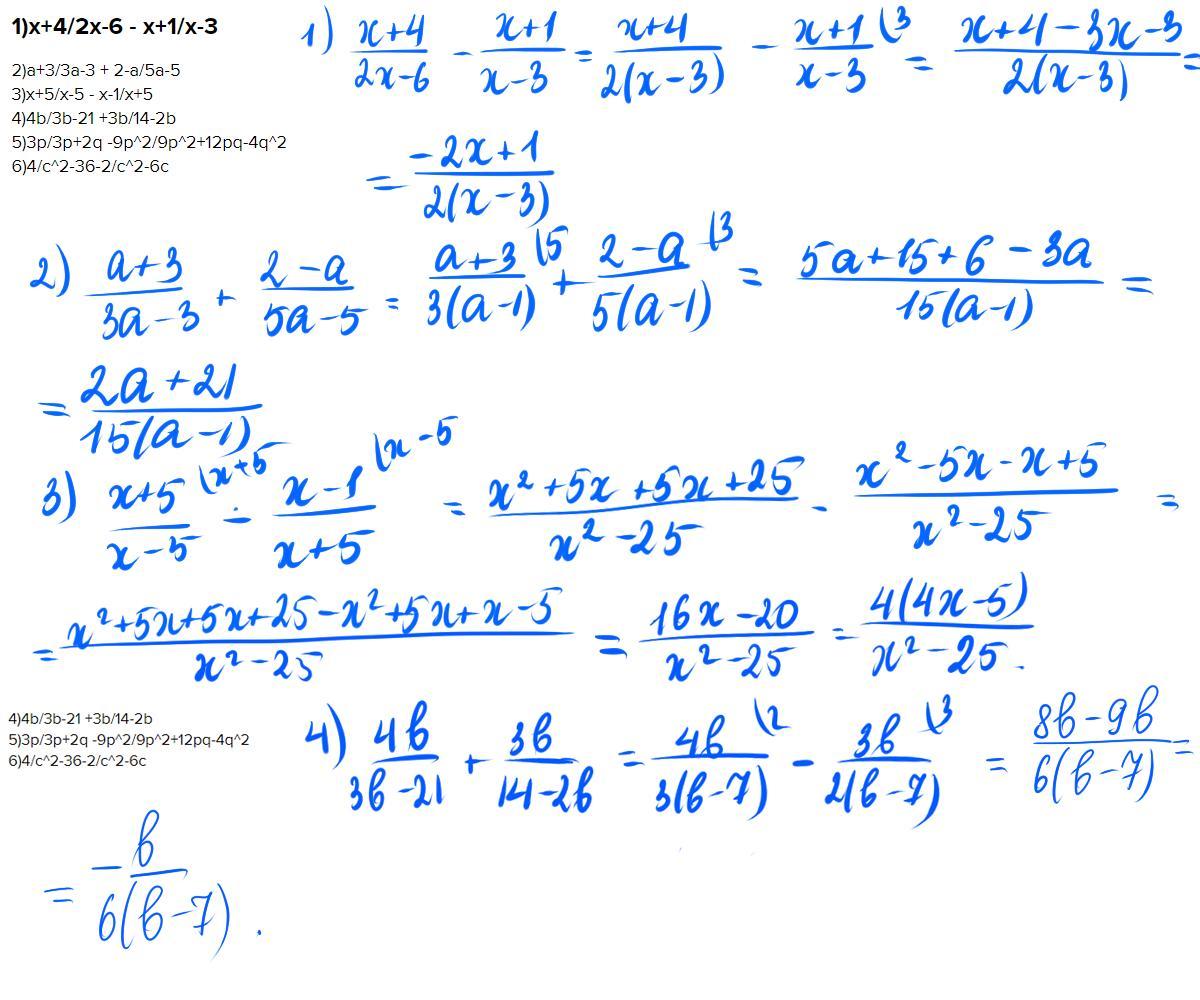
1)х+4/2х-6 - х+1/х-3
2)а+3/3а-3 + 2-а/5а-5
3)х+5/х-5 - х-1/х+5
4)4b/3b-21 +3b/14-2b
5)3p/3p+2q -9p^2/9p^2+12pq-4q^2
6)4/c^2-36-2/c^2-6c
Ответы
Ответ дал:
2
Последние не решила, записаны не очень понятно.
Приложения:

Вас заинтересует
2 года назад
2 года назад
2 года назад
2 года назад
7 лет назад
7 лет назад
9 лет назад
9 лет назад