• Предмет: Алгебра
  • Автор: ekaterinabiknys2208
  • Вопрос задан 3 года назад

Помогите срочно пожалуйста

Приложения:

Ответы

Ответ дал: Аноним
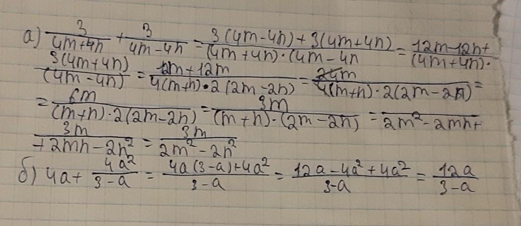
1

вот решение на фотографии удачиииии!!!!!

Приложения:
Ответ дал: sisterssnails
0

надеюсь понятно..............

Приложения:
Вас заинтересует