• Предмет: Алгебра
  • Автор: leizankhabibullina
  • Вопрос задан 3 года назад

решите пожалуйста номер 3 с объяснением!!!!
АЛГЕБРА 8 КЛАСС

Приложения:

Ответы

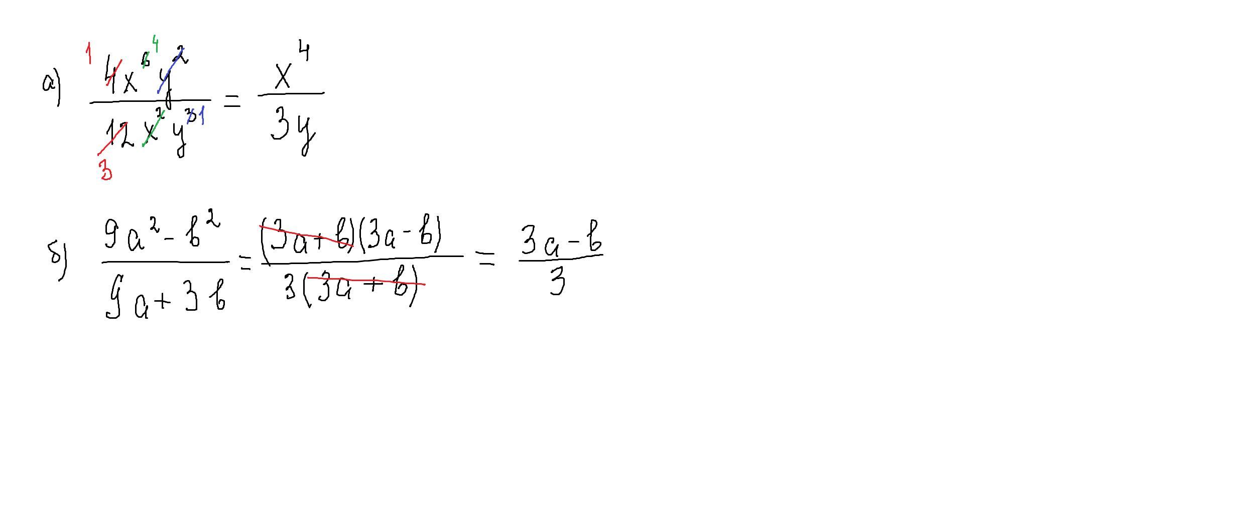
Ответ дал: parus77
1

Ответ:

Объяснение:

решение внизу

Приложения:
Вас заинтересует