• Предмет: Алгебра
  • Автор: asemaitanatarnur
  • Вопрос задан 3 года назад

#9.20 Плмогите пжлст!Прямо щас нужно!

Приложения:

smorodinkalolp0t266: Слишком много вопросов, разбей их по 4, а лучше по 2 и тебе все решат

Ответы

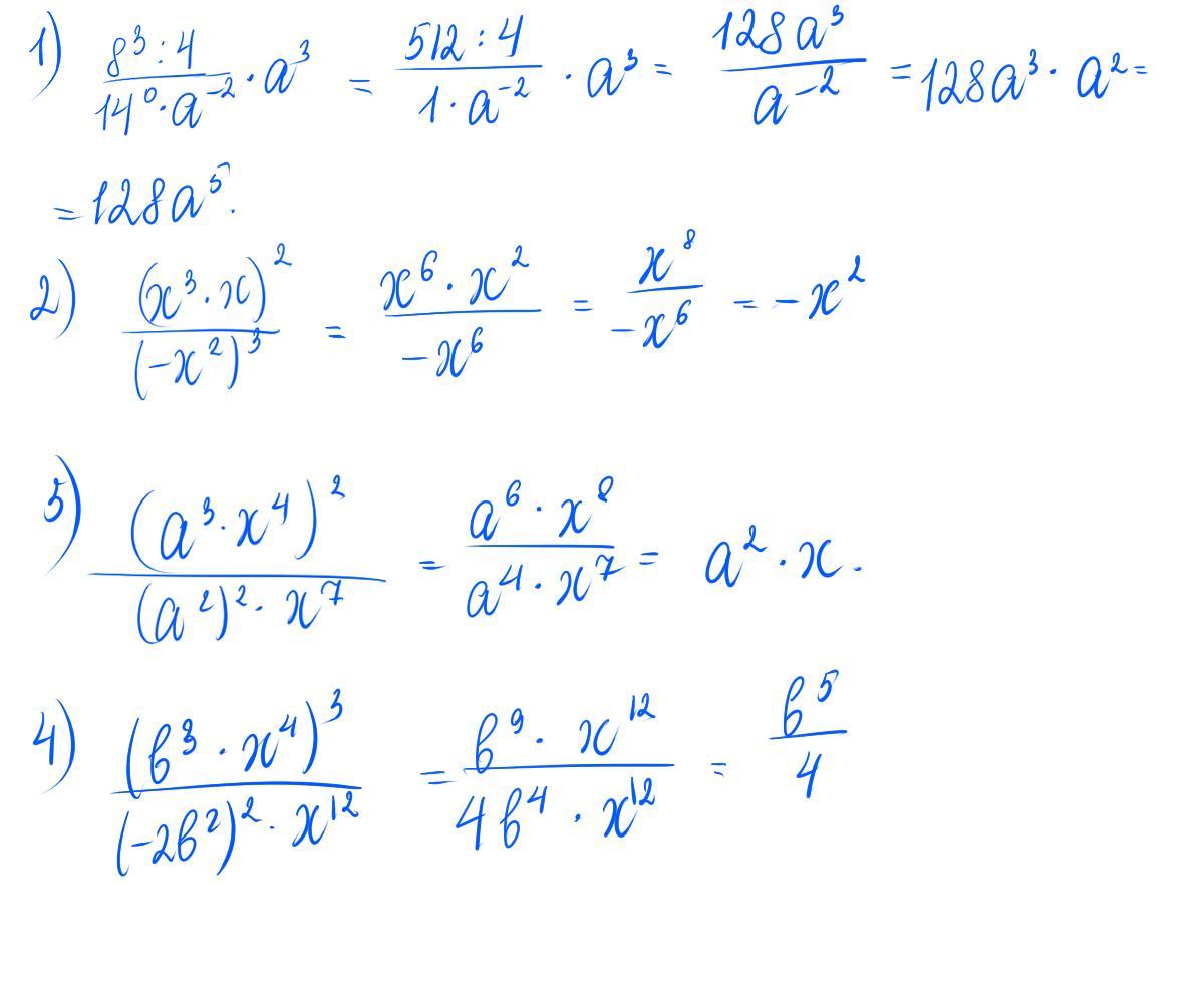
Ответ дал: Енотяша
1

Ответ:

Смотри фото

Объяснение:

Смотри фото

Приложения:

smorodinkalolp0t266: Последнее выходит в^7/4, а не в^5/4
smorodinkalolp0t266: Ааааа сори, ответ верный, в предыдущем выражении ошибочно указана степень в
Енотяша: да-да, там в знаменателе 4b^4, а не 4b^2. Торопилась, и не заметила)
Ответ дал: wdmsu
1

Вроде вот так........

Приложения:
Вас заинтересует