• Предмет: Алгебра
  • Автор: genabukin227
  • Вопрос задан 3 года назад

Помогите
Даю 100 баллов

Приложения:

Ответы

Ответ дал: mylojulia89djv
1

Ответ:Вроде так

4 пример на втором фото

Объяснение:

Приложения:

NNNLLL54: последний пример неверно, исправьте
Ответ дал: NNNLLL54
0

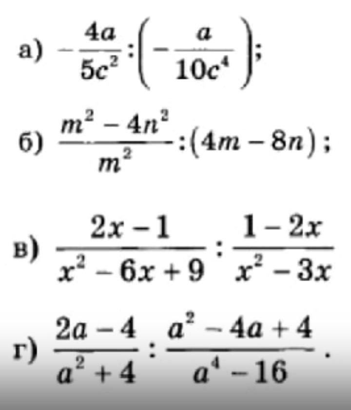
1)\ \ -\dfrac{4a}{5c^2}:\Big(-\dfrac{a}{10c^4}\Big)=\dfrac{4a}{5c^2}\cdot \dfrac{10c^4}{a}=\dfrac{4\cdot 2c^2}{1}=8c^2\\\\\\2)\ \ \dfrac{m^2-4n^2}{m^2}:(4m-8n)=\dfrac{(m-2n)(m+2n)}{m^2\cdot 4(m-2n)}=\dfrac{m+2n}{4m^2}

3)\ \ \dfrac{2x-1}{x^2-6x+9}:\dfrac{1-2x}{x^2-3x}=\dfrac{2x-1}{(x-3)^2}\cdot \dfrac{x\, (x-3)}{-(2x-1)}=-\dfrac{x}{x-3}\\\\\\4)\ \ \dfrac{2a-4}{a^2+4}:\dfrac{a^2-4a+4}{a^4-16}=\dfrac{2(a-2)}{a^2+4}\cdot \dfrac{(a-2)(a+2)(a^2+4)}{(a-2)^2}=2(a+2)

Вас заинтересует