• Предмет: Математика
  • Автор: Carinas77pup
  • Вопрос задан 3 года назад

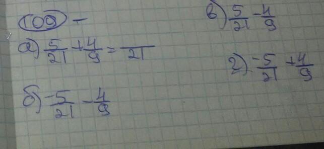
решите пожалуйста, если можете то листе​

Приложения:

Ответы

Ответ дал: kamron1510
1

Ответ:

а) 12/21 б) -43/63 в) -13/63 г) 13/63


Carinas77pup: это не правильно лол
Ответ дал: annabelli4
0

Пошаговое объяснение:

а) 43/63 ; 15/63+28/63= (15+28)/63

б) -43/63 ; -15/63-28/63= -43/63

в) - 13/63 = 15/63-28/63= -13/63

г) 13/63 = (-15+28)/63= 13/63

теперь точно правильно)))


Carinas77pup: спасибо)
annabelli4: ты не мог бы отметитьь как лучший пжж
Carinas77pup: я бы отметила но объяснения нет как ты это решил
annabelli4: хорошо
annabelli4: если я объясню то ты сделаешь как лучший?
annabelli4: ау
Carinas77pup: ок
Вас заинтересует