• Предмет: Алгебра
  • Автор: ninagordeychik
  • Вопрос задан 3 года назад

При каких натуральных n значение дроби (n^2+5n-8)/(n+3) является целым числом

Ответы

Ответ дал: GluV
0

Ответ:

-17,-10,-5,-4,-2,-1,4,11

Объяснение:

n^{2} +5n-8=n^{2} +5n+6-14=(n+3)(n+2)-14\\\frac{n^{2} +5n-8}{(n+3)}=n+2-\frac{14}{n+3}

Делители числа 14 - (+/-1,+/-2,+/-7,+/-14)

n+3=1 => n=-2

n+3=-1 => n=-4

n+3=2 => n=-1

n+3=-2 => n=-5

n+3=7 => n=4

n+3=-7 => n=-10

n+3=14 => n=11

n+3=-14 => n=-17

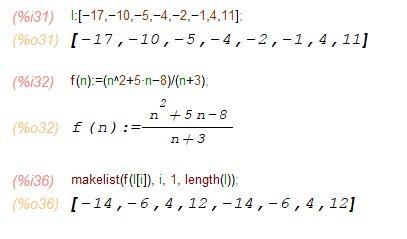
Проверим полученный результат в Maxima

Приложения:
Вас заинтересует