• Предмет: Математика
  • Автор: palonek554
  • Вопрос задан 3 года назад

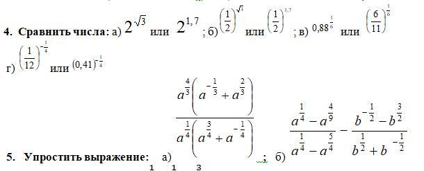
Прошу решения помогите

Приложения:

Ответы

Ответ дал: Аноним
0

Ответ:

ВСе на фотке и все правильно

Приложения:
Вас заинтересует