• Предмет: Математика
  • Автор: Kyltaeva06
  • Вопрос задан 3 года назад

Помогите пожалуйста​

Приложения:

Selena76543: А какой ответ тебе нужно?
Kyltaeva06: решить все примеры и объяснение 3(а) и 4(б)

Ответы

Ответ дал: kunduzorazbaeva273
1

Ответ:

привет щя остальные отправлю

Приложения:
Ответ дал: nishimurakel
1

Ответ:

1) задание:

а) 36-3х8= 36-24 =12

б) (- 1) - 1= -2

2) задание

(-3)= -27

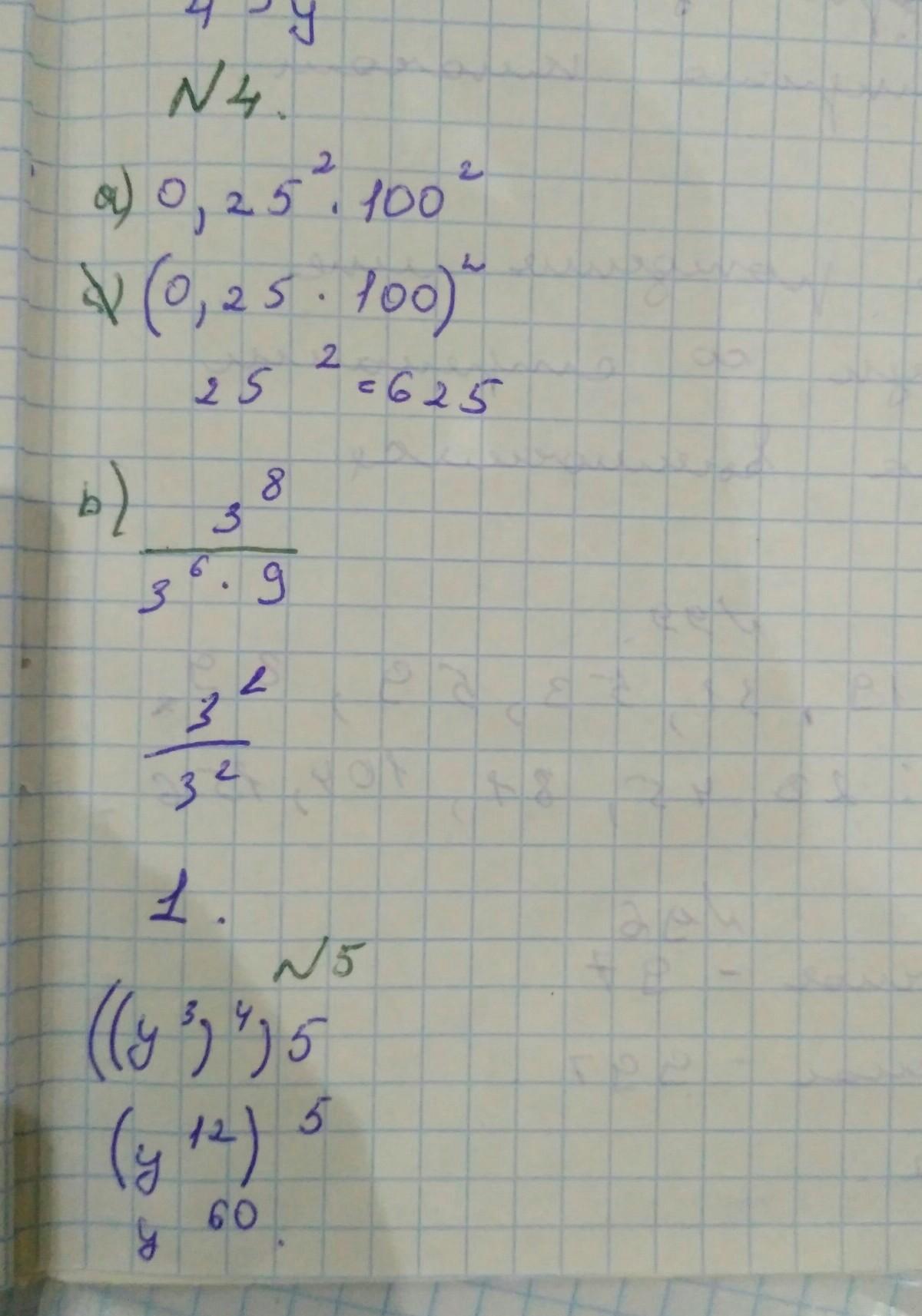
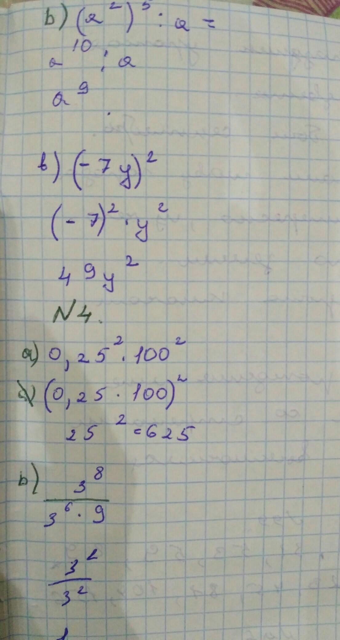
3)задание

 {c}^{18} \div  {c}^{15}   \times  {c}^{2}  =  {c}^{3}  \times  {c}^{2}  =  {c}^{5}

 {( {a}^{2} )}^{5}  \div a =  {a}^{10} \div a =  {a}^{9}

  {( - 7y)}^{2}  =  {49y}^{2}

4)задание

а) 0,0625 х 10000 =625

  \frac{ {3}^{8} }{ {3}^{6} \times 9 } =  \frac{ {3}^{8} }{ {3}^{6} \times  {3}^{2}  }  =    \frac{ {3}^{8} }{ {3}^{8} }  = 1

5)задание

  {{(( {y}^{3})^4})^5}  =  ({y}^{12})^{5}   =  {y}^{60}

Вас заинтересует