• Предмет: Математика
  • Автор: Creepuga
  • Вопрос задан 3 года назад

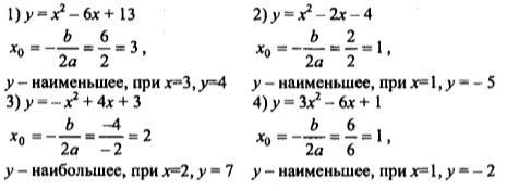
Не строя график, определите, при каком значении х квадратичная
функция имеет наибольшее (наименьшее) значение; найдите это
значение:
1) у = х² – 6х + 13;
2) у = х² - 2x – 4;
3) у = х² + 4х + 3;
4) у = 3х²-6х+1​

Ответы

Ответ дал: elzodxodjaniazov
48

Ответ:вот

Пошаговое объяснение:

Приложения:

Creepuga: спс бро
Creepuga: )))
shuhrathusanovich: спс
abdulloh110: спасибо большое за помощь
kulgashevorinbasar: спасибо бро отдуши ✊✊
ketrin0605: Спасибо большооее❤
diyorbek59: ты гений братан
Аноним: спасибо, очень помог.
Вас заинтересует