C полным решением пожалуйста
Приложения:

sergeypolumardenov:
это я так понимаю надо перевести в систему счисления? А зачем в конце опять в конечную переводить?
Ответы
Ответ дал:
0
Ответ:
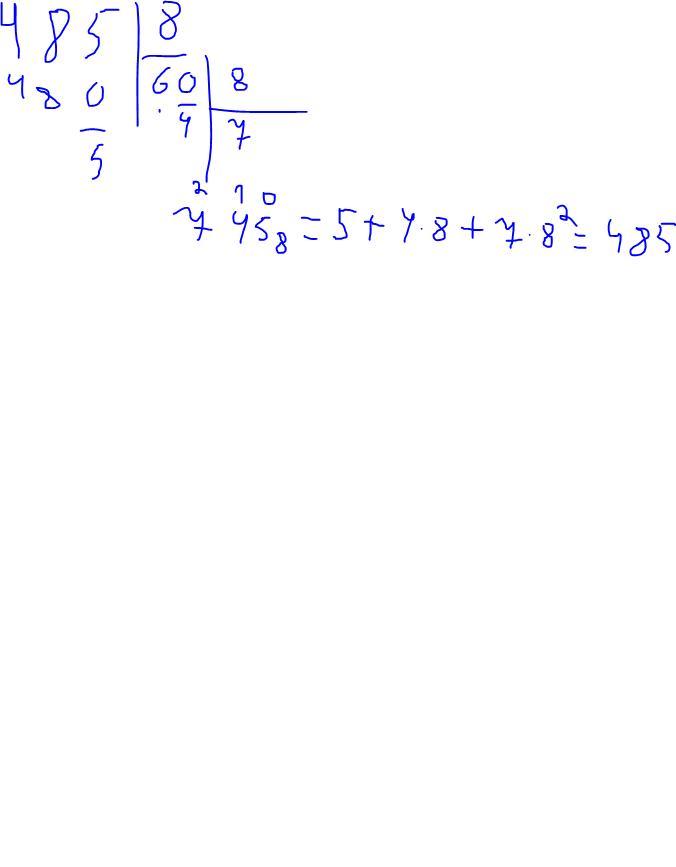
745
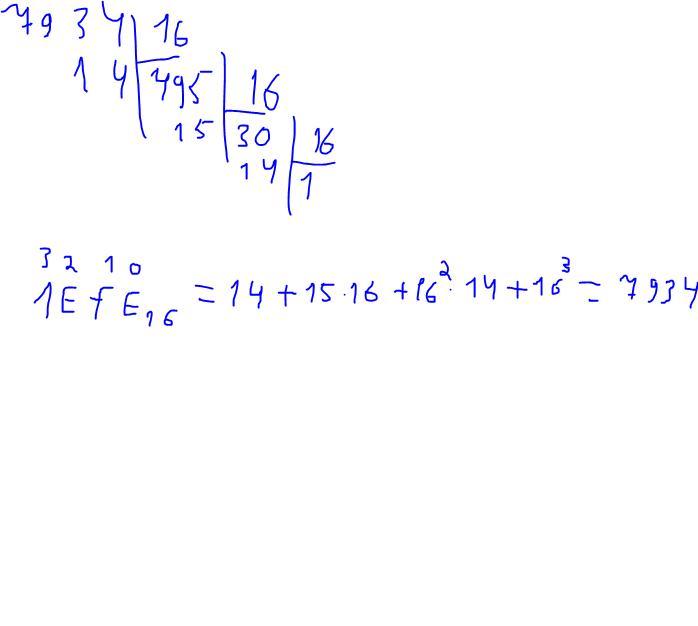
1EFE
1868
решение на картинки
объяснение:
Чтобы перевести из десятичной системы счисления, в другую любую СС, надо:
1. разделить число на СС
2. запомнить остаток
3. поделить целую часть снова на СС
затем когда делить уже будет нечего, записываем ответ - это остатки с КОНЦА.
Чтобы перевести из любой системы в десятичную надо:
1. дать всем числа порядок от 0.. начиная с последней цифры
2. затем умножаем число на СС в степени порядка, и так с каждый числом и потом все плюсуем
Приложения:



Вас заинтересует
2 года назад
2 года назад
2 года назад
2 года назад
7 лет назад
9 лет назад