• Предмет: Математика
  • Автор: bayangyl0208
  • Вопрос задан 3 года назад

помогите пожалуйста. я 1 не справляюсь. и пожалуйста не надо писать что какое-то приложение мне поможет разобраться. ​

Приложения:

Ответы

Ответ дал: MatemaT123
1

Ответ:

Нет.

Пошаговое объяснение:

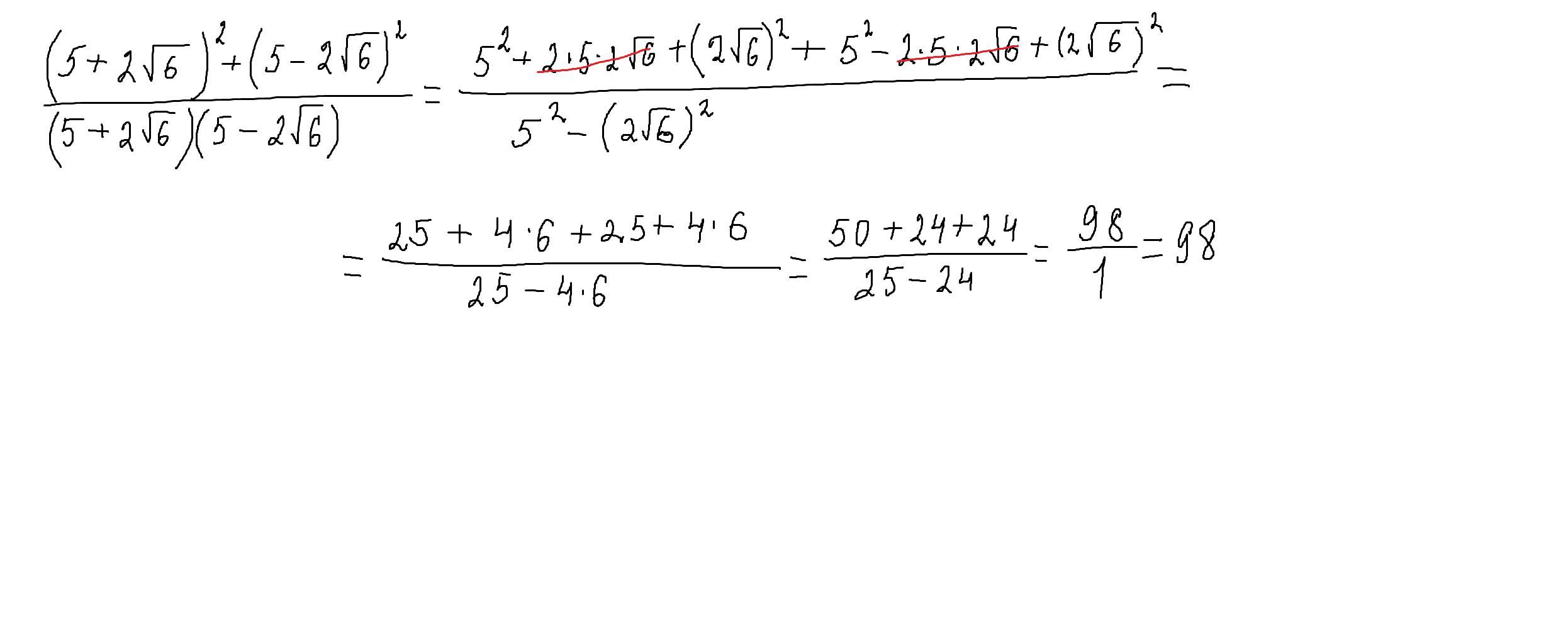
\frac{(5+2\sqrt{6})^{2}+(5-2\sqrt{6})^{2}}{(5+2\sqrt{6})(5-2\sqrt{6})}=\frac{5^{2}+2*5*2\sqrt{6}+(2\sqrt{6})^{2}+5^{2}-2*5*2\sqrt{6}+(2\sqrt{6})^{2}}{5^{2}-(2\sqrt{6})^{2}}=

=\frac{25+20\sqrt{6}+2^{2}*(\sqrt{6})^{2}+25-20\sqrt{6}+2^{2}*(\sqrt{6})^{2}}{25-2^{2}*(\sqrt{6})^{2}}=\frac{50+4*6+4*6}{25-4*6}=\frac{50+24+24}{25-24}=\frac{50+48}{1}=

=\frac{98}{1}=98;

В задании дан ответ 10, здесь, при решении, мы получили 98, следовательно, значение выражения (в задании) найдено неверно.

Ответ: нет.

Ответ дал: parus77
1

Ответ:

нет,не верно

Пошаговое объяснение:

применяем формулы (а+в)²=а²+2ав+в² (а-в)²=а²-2ав+в²

(а-в)(а+в)=а²-в²

Приложения:
Вас заинтересует