Ответы
Ответ дал:
0
То есть, смотри
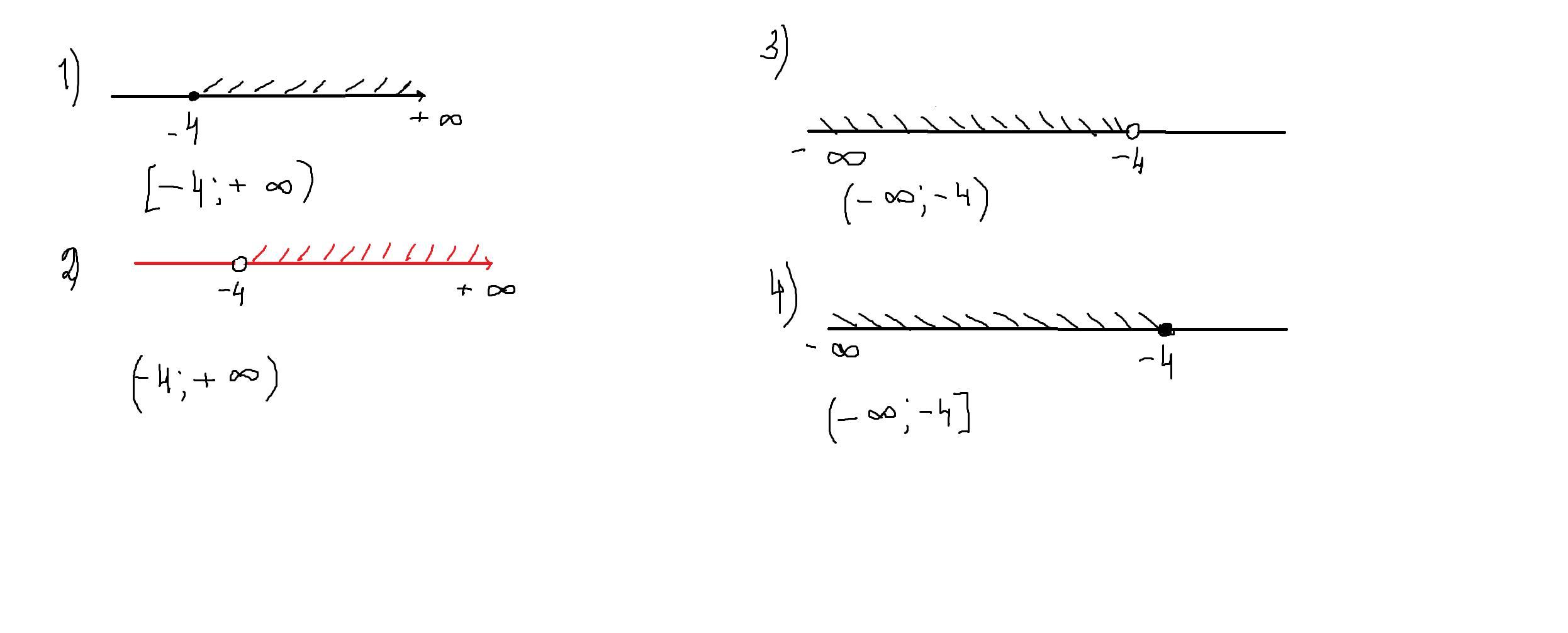
Кароч, КВАДРАТНАЯ СКОБКА будет тогда когда в знаке есть равно(то есть БОЛЬШЕ РАВНО>=, МЕНЬШЕ РАВНО(<=) а значит на прямой, точка будет ЧЁРНОЙж
- и + бесконечности всегда КРУГЛАЯ СКОБКА
Если же КРУГЛА СКОБКА, ТО ТОГДА НА ПРЯМОЙ ТОЧКУ ВНДО ОТМЕТИТЬ БЕЛЫМ(ЛИБО НАРИСОВАТЬ МАЛЕНЬКИЙ Круг) (значит знак будет либо меньше, либо больше)
Если знак меньше или меньше равно, то отмечаешь стрелки влево
Если же знак больше, больше равно, то отмечаешь строки вправо
Надеюсь понял(а)
Ответ дал:
0
Ответ:
Объяснение:
если скобка квадратная [-4 то точка закрашена,она входит в этот промежуток.
если скобка круглая( -4 то точка не закрашена,там "дырка",и она не входит в промежуток.
где знак ±∞ скобка всегда круглая (-∞;+∞)
Приложения:

Вас заинтересует
2 года назад
2 года назад
2 года назад
7 лет назад
7 лет назад
9 лет назад