• Предмет: Алгебра
  • Автор: nikolajfedotov451
  • Вопрос задан 3 года назад

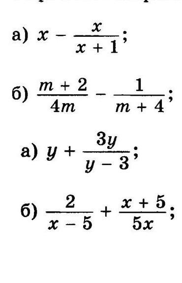
Упрастите выражение

Приложения:

Ответы

Ответ дал: malakasha
0

Объяснение: во вложении

Приложения:
Вас заинтересует