• Предмет: Геометрия
  • Автор: Howl04
  • Вопрос задан 3 года назад

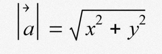
Выразите длину вектора "a", через его координату(x;y)

Ответы

Ответ дал: MatrixOfsciences
20

Объяснение:

Чтобы найти длину вектора а, нужно посчитать корень из суммы квадратов его координат, т. е. (фото),

где х и у - координаты вектора

Приложения:
Вас заинтересует