• Предмет: Алгебра
  • Автор: Artempodlivakhin
  • Вопрос задан 3 года назад

Решите пожалуйста все что отмечено галочкой. Срочно(2.10 тоже)

Приложения:

Ответы

Ответ дал: Ivanivanov234
1

Ответ:

С.2.7.

1)8

2)5

3)10

4) 90

5)0,1

6)0,12

С.2.8.

1) не имеет

2)не имеет

3)имеет

4) не имеет

5)не имеет

6)не имеет

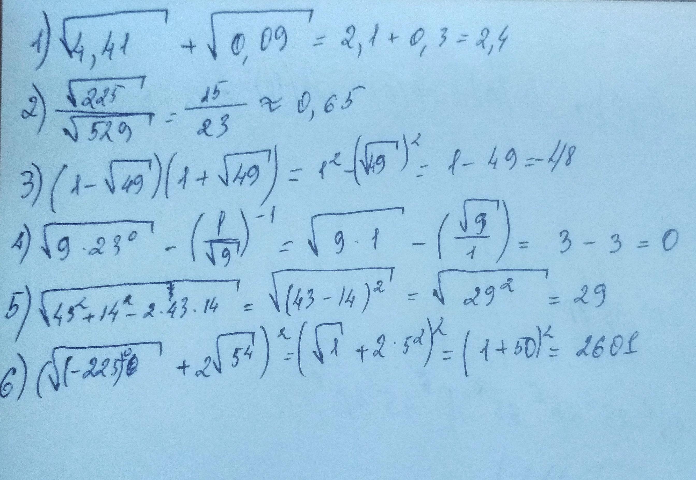
С.2.9.

1)2,4

2)0,65

3)-48

4)0

5)29

6)2601

Объяснение:

С.2.9.

Приложения:

Artempodlivakhin: Можно пожалуйста 2.9 не только ответы но и решение
Ivanivanov234: Хорошо.
Artempodlivakhin: Спасибо
Вас заинтересует