• Предмет: Математика
  • Автор: evasokolova777
  • Вопрос задан 3 года назад

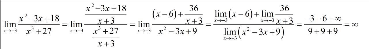
Вычислите предел....

Приложения:

Ответы

Ответ дал: palilov243659
1

Ответ:

Пошаговое объяснение:

это предел вида 0/0

решение во вложении

Приложения:

evasokolova777: Только вложения нет)
palilov243659: но решение то есть
Вас заинтересует