• Предмет: Математика
  • Автор: evasokolova777
  • Вопрос задан 3 года назад

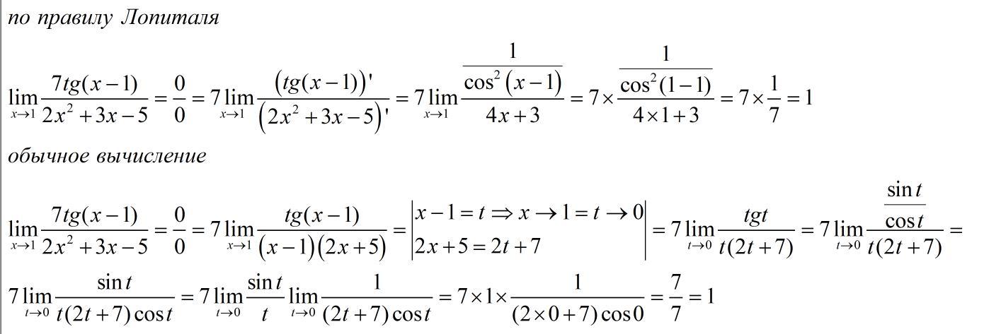
Вычислите предел....

Приложения:

Ответы

Ответ дал: palilov243659
1

Ответ:

Пошаговое объяснение:

замена переменной и замечательный предел

\lim_{n \to \\ 0} \frac{sinx}{x}  =1

Приложения:
Вас заинтересует