• Предмет: Математика
  • Автор: larendady
  • Вопрос задан 3 года назад

Срочно. Даю 30 баллов​

Приложения:

Ответы

Ответ дал: lonelyrose95
0

Лучший ответ:

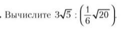
\sqrt[3]{5\\} : ( \frac{1}{6}\sqrt{20} ) = 6,7 : 1,5 = 4,5

Вас заинтересует