Ответы
Ответ дал:
1
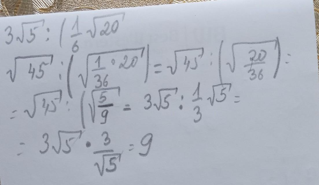
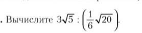
Ответ:
9
Пошаговое объяснение:
3√5×3/√5=3×3=9
3×3=9,,,
Приложения:

Вас заинтересует
2 года назад
2 года назад
2 года назад
2 года назад
7 лет назад
9 лет назад
9 лет назад