Всем привет помогите пожалуйста решить 2 и 4, номер 40
За раннее благодарна
Даю 30 баллов
Приложения:

Ответы
Ответ дал:
1
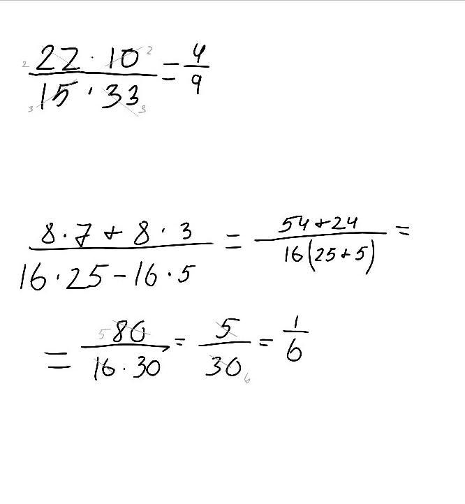
Ответ:
.................................
Приложения:

Вас заинтересует
2 года назад
2 года назад
7 лет назад
7 лет назад
9 лет назад