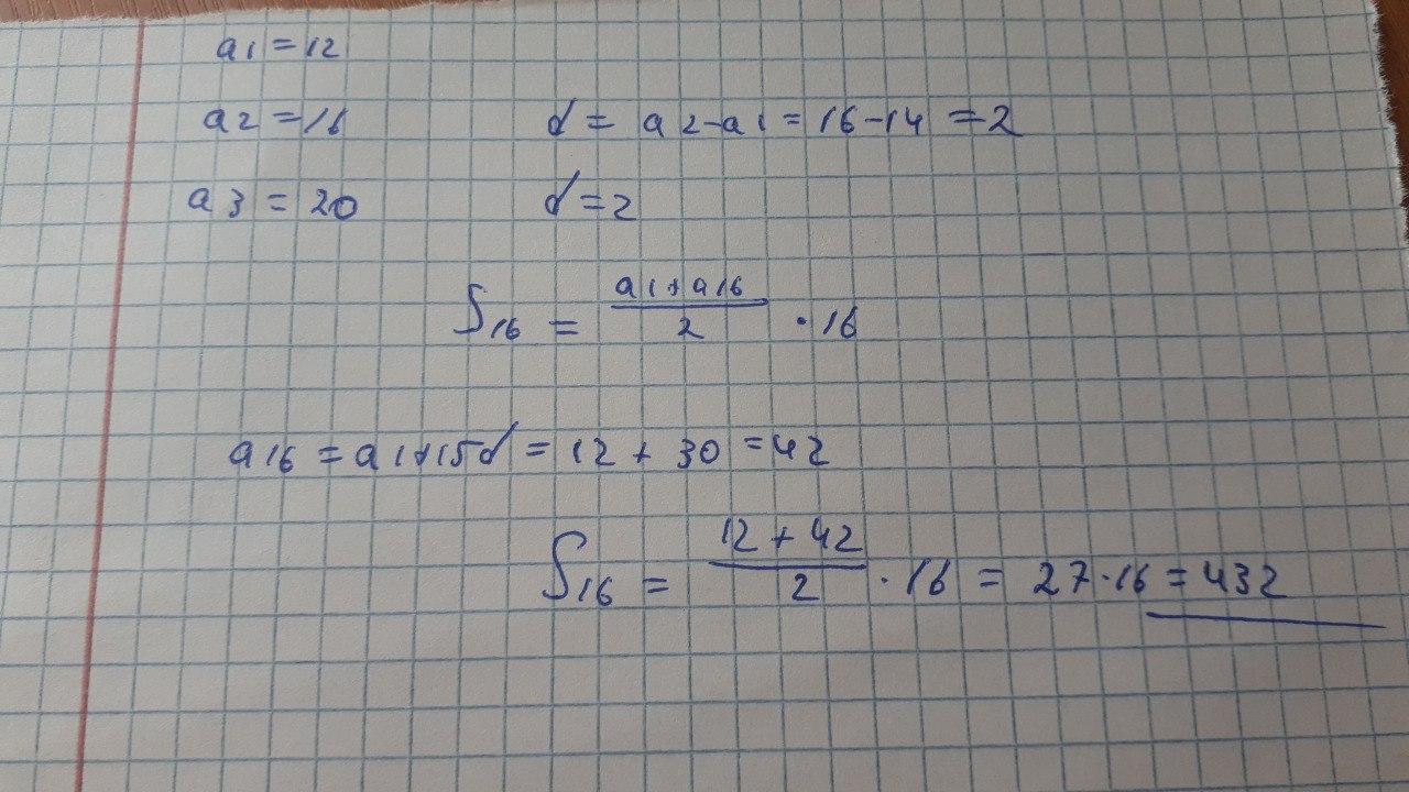
Дана арифметическая прогрессия: 12; 16; 20... Найди сумму её первых шестнадцати членов.
kwizzi:
432
Ответы
Ответ дал:
1
Ответ:
432
Объяснение:
Приложения:

Вас заинтересует
2 года назад
2 года назад
7 лет назад
7 лет назад
9 лет назад