Ответы
Ответ дал:
1
Ответ:
Объяснение:
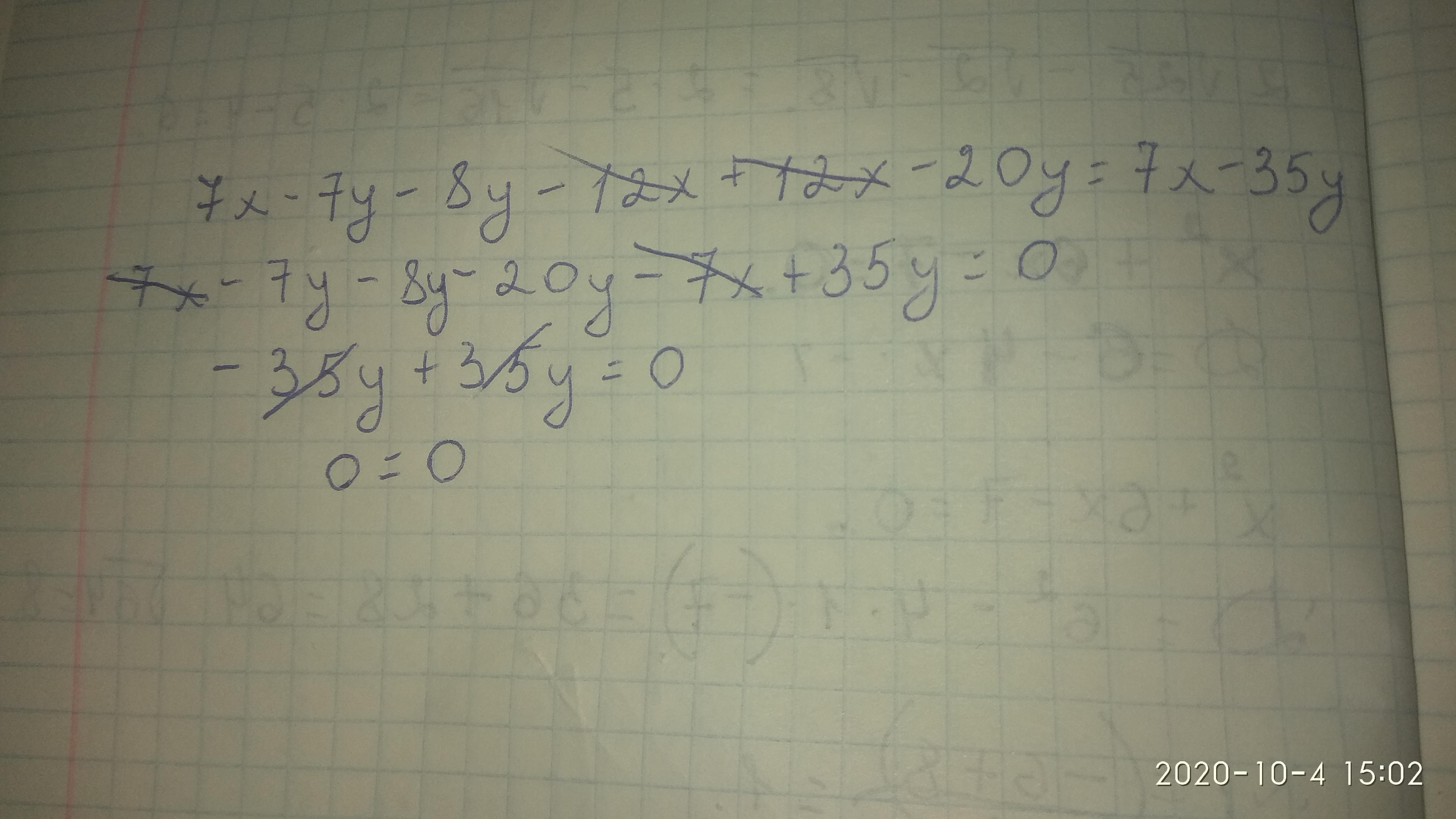
Раскрываем скобки, получаем в левой части:
7х-7у-8у-12х+12х-20у, складываем все вместе..
-12х и 12х сокращаются, остается лишь 7х
-8у-12у-20у = -35у
Итого 7х-35у=7х-35у
shabuev22:
В ответе можно переменные перенести в левую часть и получится 7х-35у-7х+35у=0 те значения которые на левой стороне сокрашаем и в итоге получается 0=0
Ответ дал:
1
Ответ: те значения с перемеными которые я подчеркнула, они сокращаются
Объяснение:
Приложения:

Вас заинтересует
2 года назад
2 года назад
7 лет назад
7 лет назад
9 лет назад
9 лет назад