• Предмет: Алгебра
  • Автор: bkv321089
  • Вопрос задан 3 года назад

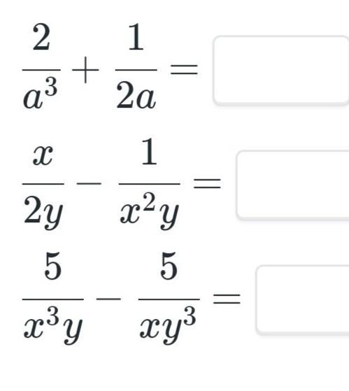
(30 б) упростите выражения​

Приложения:

Ответы

Ответ дал: diana69692006
2

Ответ:

если есть недочёты исправьте

Приложения:

bkv321089: спасибо :')
Ответ дал: Universalka
1

1)\frac{2}{a^{3}}+\frac{1}{2a}=\frac{4+a^{2}}{2a^{4}}\\\\2)\frac{x}{2y}-\frac{1}{x^{2}y}=\frac{x*x^{2}-2 }{2y*x^{2}y}=\frac{x^{3}-2}{2x^{2}y^{2}}\\\\3)\frac{5}{x^{3}y}-\frac{5}{xy^{3}}=\frac{5y^{2}-5x^{2}}{x^{3}y^{3}}

Вас заинтересует